2023世界机器人大赛-青少年机器人设计大赛YAI赛项 城市选拔赛获奖情况公示
2023世界机器人大赛-青少年机器人设计大赛YAI赛项 城市选拔赛已在徐州市查理洛克菲德学院成功举办。经各项竞赛裁判综合判定,产生了本届世界机器人大赛城市选拔赛各参赛项目一、二、三等奖,现将获奖情况予以公示,公示期为5天。公示期内,若对公布结果持有异议,请通过书面形式向组委会办公室提出。书面内容应包括异议人的姓名、身份证明、单位、联系电话,注明质疑内容并提供详实的材料依据。
公示时间:9月25日-9月29日
联系电话:80805011
地址:徐州市新城区行政中心东综合楼A523室
邮箱:xz_pjb@126.com
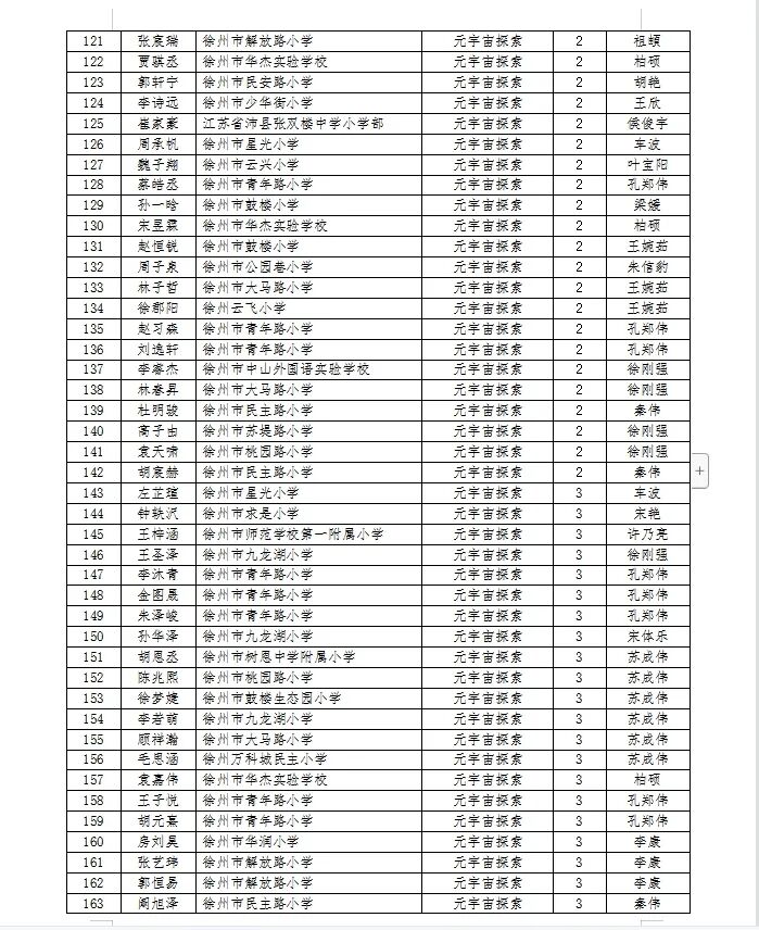
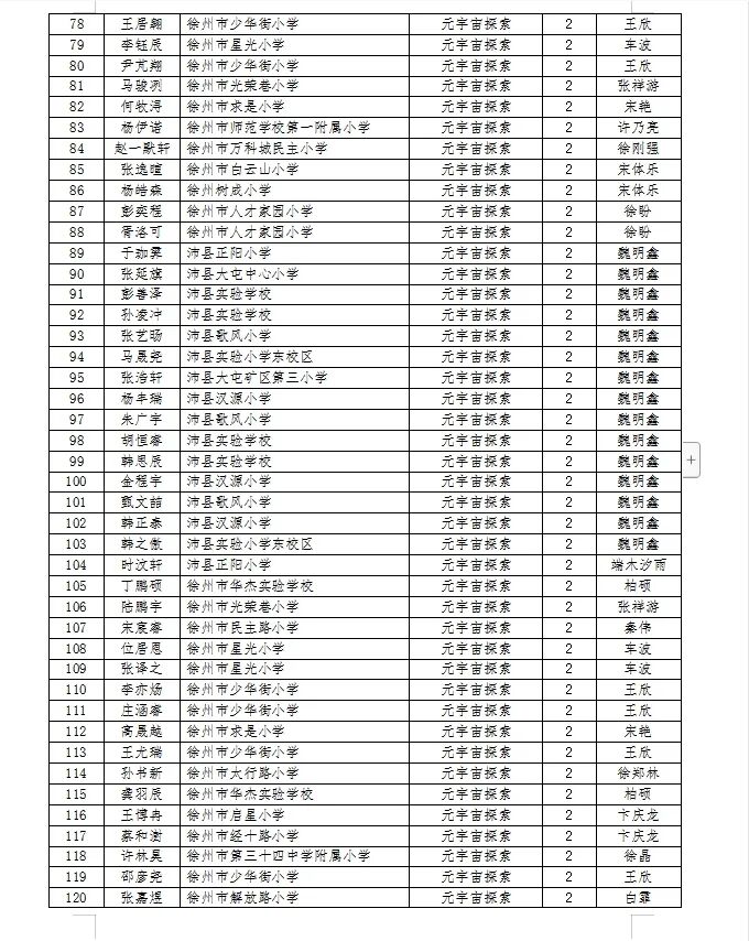
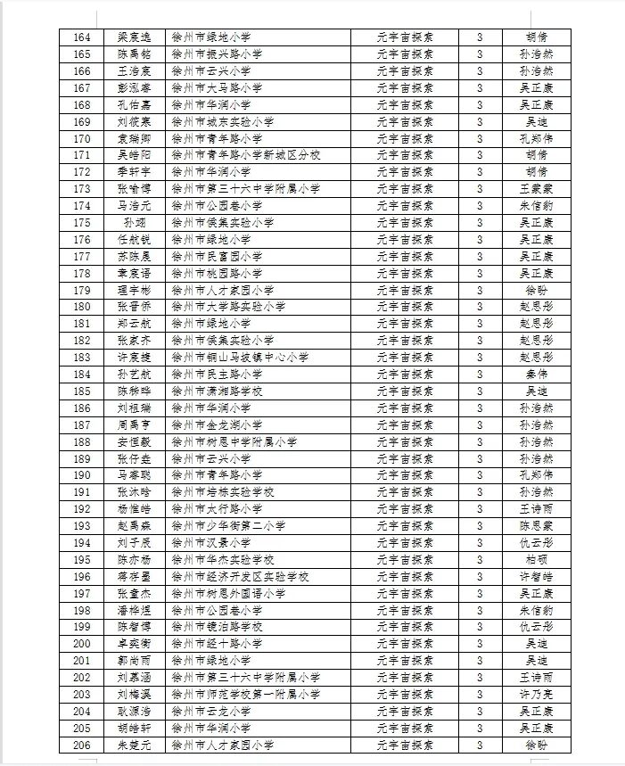
附件:2023世界机器人大赛-青少年机器人设计大赛
YAI赛项城市选拔赛获奖情况
徐州市青少年机器人大赛
组 委 会
2023年9月25日
https://mp.weixin.qq.com/s/kNCsmYRp8rUhocEWe8fZEA
苏公网安备32021402002844

