2023第四届“中国·东方”文化创意大赛获奖名单(自由命题类)公示
各设计师、院校/单位、艺术爱好者:
2023第四届“中国·东方”文化创意大赛自征稿以来,得到了设计师、院校学生的踊跃参与,本次大赛共计分为四个组别(业余组、学生组、硕博组、专业组),下分五个自由命题大项(美术作品类、设计作品类、影视创作类、学术课件类、文案策划类)及一个命题专项。
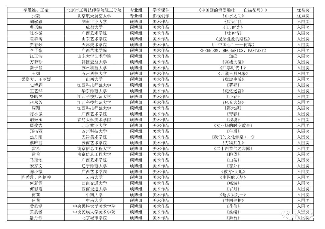
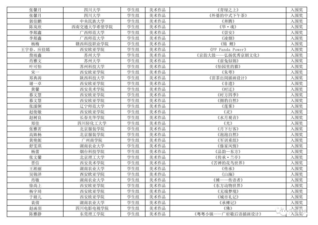
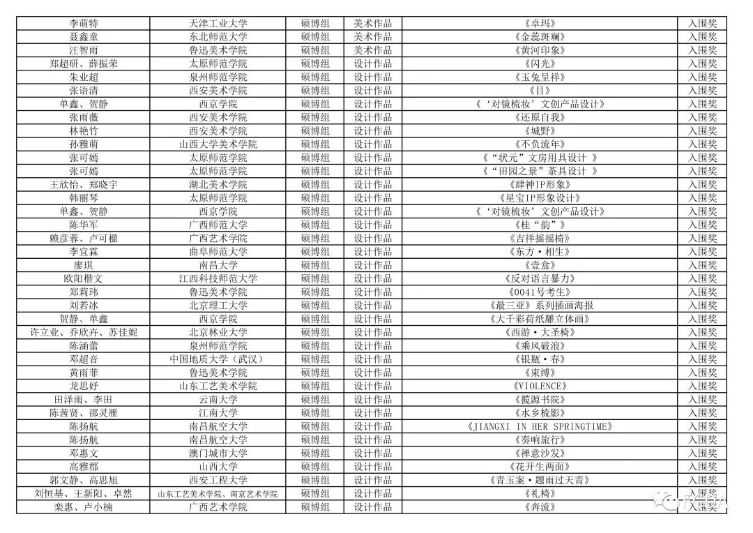
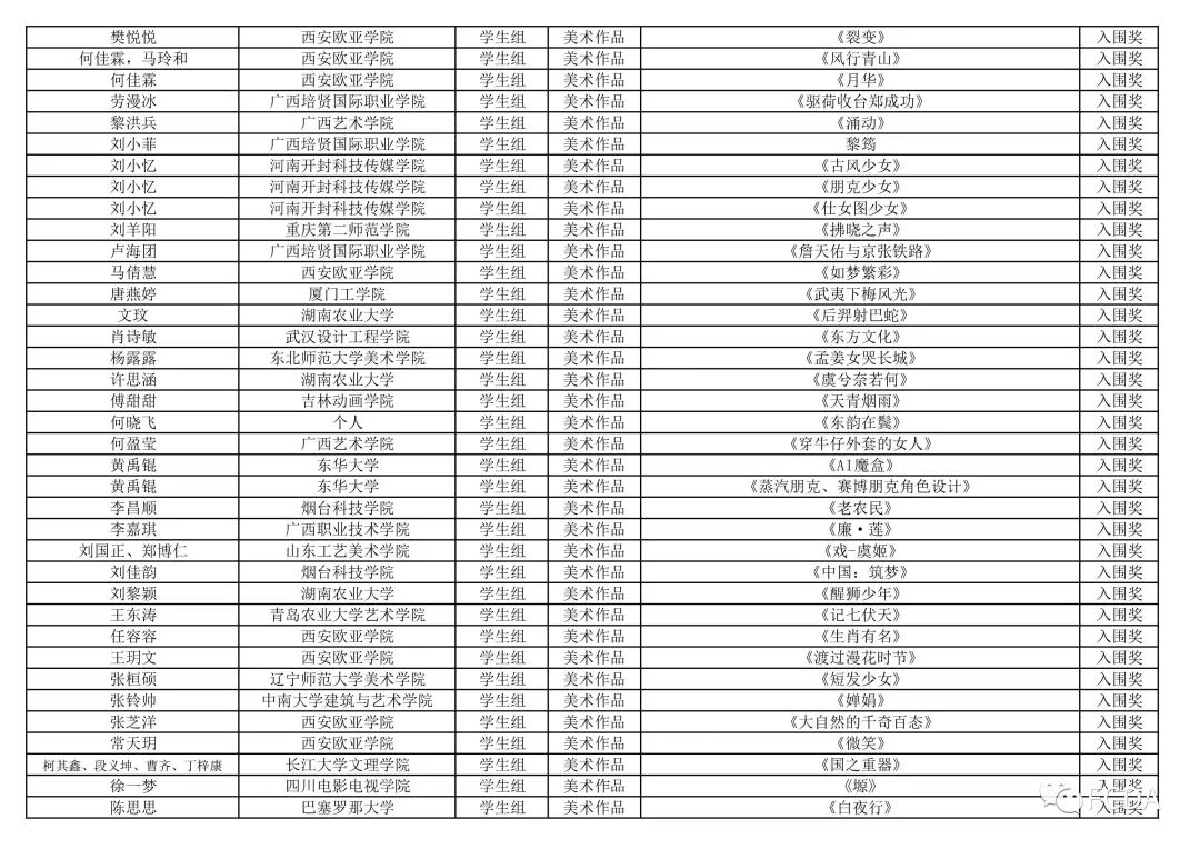
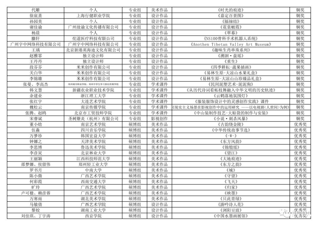
截止3月31日,2023第四届“中国·东方”文化创意大赛(自由命题类,下同)共计收到来自清华大学、中国美术学院、巴塞罗那大学等海内外知名高校的参赛稿件1702件,其中有效稿件1645件(含港澳台及海外稿件51件),共计评出各类奖项823件。目前自由命题类所有赛别评审已完成,现将本次获奖结果予以公示(注意事项见文末)。
获奖名单公示期即日起—4月30日,如公示名单中出现信息错误,请联系组委会修改(仅可修改院校单位及姓名与作品名称所含的错字),未尽事宜,请咨询大赛邮箱:zgdongfang@outlook.com
“中国·东方”文化创意大赛组委会
2023年4月
2、本次大赛的证书采用电子版与纸质版两种形式,默认发放纸质版证书,参赛者如仅需电子证书可编辑邮件信息“仅需电子版+姓名+作品名+收件邮箱”至大赛邮箱zgdongfang@outlook.com。自由命题类电子证书申请及申请发放时间:5月6日—5月31日。
申请电子版证书将不在发放纸质版,纸质版证书邮寄(顺丰到付)发放时间:6月1日—6月30日
3、获得特等奖、商业价值奖、单项奖的参赛者,请编辑“奖金申请”至邮箱,填写大赛奖金申请表。未获奖作品,即日起可编辑邮件信息“退费、姓名、作品名、支付宝账号、转账截图”至大赛邮箱,组委会将于5月30日之前进行核查并退费, 办理邮箱:zgdongfang@outlook.com
4、优秀指导教师奖申请
(1)在美术作品类、设计作品类、影视创作类、学术课件类、文案策划类中指导学获得等级奖及以上(包括特等奖、商业价值奖、单项奖、金奖、银奖、铜奖)
(2)指导学生获得3件作品入围及以上。
注:指导教师姓名以报名表所填为准,无法重新添加修改指导教师。
以上仅需满足(1)(2)其一即可申请,申请开放时间为5月20日-5月30日,编辑申请优秀指导教师+教师姓名+获奖作品名+邮箱,该奖项仅发放电子版证书。请在规定时间进行办理。其余时间不接受申请。办理邮箱:zgdongfang2023@sina.com
https://mp.weixin.qq.com/s/Vxq6zsfbRjMN0H7sKH0XOg
苏公网安备32021402002844

